Kamala
Tratto da “Piante Medicinali – Chimica, Farmacologia e Terapa” di R. Benigni, C. Capra e P.F.Cattorini
(Mallotus philippinensis (Lamk.) Mull. Arg. Fam. Euforbiacee/Crotonee/Acalifee)
(Sin. – Rottlera tinctoria s. barbata Roxb. – Croton philippinensis Lamk.)
Kamala- Ultimo aggiornamento pagina: 27/02/2018
Indice dei contenuti
- Generalità
- Componenti principali
- Proprietà farmacologiche
- Estratti e preparati vari
- Preparazioni usuali e Formule
- Bibliografia
Generalità

Etimologia – Kamala o kameela, antico nome indù. Anche kapila-podi dal sancrito kapila = rosso debole e podi = polvere, cioè polvere rossa. Kamala è anche uno dei nomi indiani del Nelumbum speciosum Willd. (sin. – N. nucifera Gaertn.) (Ninfeacee).
Mallotus, dal greco mallwtos = villoso, peloso, perchè i giovani rami, i piccioli, la faccia inferiore delle foglie, le infiorescenze sono coperti di tomento grigiastro formato da peli stellati.
phlippinensis, delle Isole Filippine.
Rottlera, genere stabilito da Willdenow, dedicato al Botanico rev. Rottler.
tinctoria, perchè usata nell'industria tintoriale per la sostanza colorante rossa/gialla (tinge in giallo la seta).
barbata, barbuta, per la stessa ragione di Mallotus.
Croton, dal greco kroton = zecca (Ixodes ricinus L.) allusione alla somiglianza dei semi con l'insetto parassita.
Nome volgare – Camala o Kamala, Canh kièn (Vietnam/n.), Da ma tich (cinese).
Habitat – India (contrafforti dell'Himalaja), Ceylon, Giava, Borneo, Malesia, Isole Filippine, Cina, Arabia, Abissinia, Australia nord.
Centri di raccolta sono Orissa (s/w di Calcutta), Bengala (Bombay). Epoca della raccolta: marzo.
La qualità migliore proviene da Dohly (località fra Salem ed il sud di Arcet (India, Madras).
Arbusto o albero (10-12 m.).
Parti usate – Ghiandole delle infiorescenze e delle cassule.
Vi sono due qualità: Kamala rosso/grigio o Kamala naturale e Kamala
Rosso/mattone, che è sbarazzata da una parte dei peli.
Componenti principali
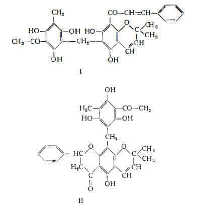
Resina, dalla quale sono stati isolati i composti floroglucinici rottlerina (1) [= mallotossina (2) (3)] 10-12% (2) ed isorottlerina (3), che sono i principi attivi antielmintici della Kamala.
Lo studio delle formule centesimali e di struttura dei componenti floroglucinici, specialmente per opera di Dutt (4), di Gookin, Robertson e coll. (5) (6) (7) e di Brockmann e Maier (8) (9), ha condotto a proporre per la rottlerina, C30H28O8, e per il suo isomero isorottlerina i seguenti schemi strutturali I e II rispettivamente.

Nel corso delle ricerche sulla sintesi della rottlerina Robertson e coll. (10) hanno ottenuto la tetraidrorottlerina, identica al prodotto di riduzione della rottlerina naturale.
In letteratura non sono reperibili notizie recenti sugli altri componenti della Kamala. Secondo dati d’analisi di vecchia data, si è rilevata la presenza di resina (70-80%), acido citrico, tannino, una piccola quantità di olio etereo, uno zucchero riducente, gomma, amido, cellulosa (7,68%), cera (probabilmente estete cerilico dell'acido cerotico), una sostanza colorante gialla, sostanze inorganiche non oltre 1,5% in droga «pura», anche 5-8% in buona droga commerciale, sino a 35% nelle droghe peggiori (11).
In 100 g di droga secca sono stati trovati mg 4,6 di manganese (12).
Proprietà farmacologiche ed impiego terapeutico
La Kamala è usata da lungo tempo in India e negli altri paesi di origine, come antielmintico attivo contro i platelminti in generale e le tenie in particolare, sulle quali sembra eserciti un’azione paralizzante dei nervi motori e dei muscoli [Semper
(13)]. Essa è dotata anche di un buon effetto purgativo, effetto che può essere violento allorché la droga venga somministrata a dosi elevate. A tali dosi può produrre nausea ma raramente vomito.
La Kamala viene somministrata alla dose di g 5-10 nell'adulto e di 1-2 g nei bambini, sospesa in acqua, in sciroppo o in mucillagine gommosa e senza particolare preparazione del paziente.
Di solito non occorre far seguire l’azione di un purgante, ma se l’effetto evacuante mancasse, è opportuno somministrare una dose di olio di ricino.
A dosi terapeutiche la Kamala è ben tollerata dallo stomaco e dall'intestino, ma a dosi elevate può dar luogo a gastro-enterite più o meno grave.
Sing e Chak (14) hanno studiato l’azione della Kamala sull’attività enzimatica di un platelminto, la Monienzia expansa R. Bl., mediante la tecnica di Thunberg, usando bleu di metilene. La Kamala è stata impiegata alle concentrazioni da 1:1000 a 1:5000. La preparazione dell'enzima è stata ottenuta dal parassita integro. Il grado di inibizione dell’enzima è stato studiato usando la droga a varie concentrazioni su di una quantità nota di enzima. Gli AA. posero così in evidenza che la Kamala inibisce l’attività della idrogenasi succinica del verme e che questa azione inibitrice aumenta con l’aumentare della concentrazione della droga, mentre diminuisce con l'aumentare della concentrazione del substrato e col tempo di contatto della droga con l’enzima.
Gujral e coll. (15-16) trovarono che la Kamala, somministrata oralmente alle ratte e alle cavie femmine, ne diminuisce la fertilità e che tale effetto è dovuto alla rottlerina. Somministrata a dosi elevate, questa sostanza è attiva nel 100% dei casi. Di uguale attività sarebbe dotata l’acetilrottlerina mentre l'isorottlerina sarebbe inattiva o soltanto leggermente attiva.
Estratti e preparati vari
Estratto fluido (g 1 = LX gtt).
Dosi: g 4-12 pro dose in tre volte alla distanza di ½-1 ora.
Preparazioni usuali e formule galeniche
Tintura
Estratto fluido kamala …………………………………………………. g 20
Alcool di 80°………………………………………………………………… g 80
(da g 6 a 30 secondo l’età).
Pozione tenifuga
Estratto fluido kamala …………………………………………………. g 4
Alcool di 80° e sciroppo di arancio…………………………. ana g 20
Acqua aromatica…………………………………………………………. g 100
(da prendersi in 5-6 ore).
BIBLIOGRAFIA
(1) ANDERSON. Edinb. Ntw Phiì. Journ., 1, 300. 1855; Arch. Fharm., 140, 335. 1857; 145, 136. 1858 –
(2) PERKIN A. G. e PERKIN W. H.. Ber.. 19, 3109. 1886 – (3) PERKIN A. G.. J. Chem. Soc.. 63. 975. 1893 – (4) DUTI. /6/d.. 127, 2044. 1925 – (5) GOOKIN A. M.. REED F. P. e ROBERTSON A., tbid., 748. 1937 – (6) GOOKIN A. M.. PERCIVAL A. B. e ROBERTSON A., ibid., 309. 1938 – (7) GOOKIN A.
M.. ROBERTSON A. e TITTENSOR E.,i6id., 1579. 1587. 1939 – (8) BROCKMANN H. e MAIER K.. Lieb. Ann., 535. 149. 1938 – (9) BROCKMANN H. e MAIER K.. ibid., 541, 53, 1939 – (10) BACKHOUSE T.. GOOKIN A. M., MATCHET J., ROBERTSON A. e TITTENSOR E.. J. Chem. Soc.. 113, 1948 – (11) WEHMER C., Die Pflanzenstolle, 1931, p. 687 – (12) KUEHN K. C„ Disch. Ap. Zig.. 92. 800, 1952 – (13) SEMPER. Arch. exp. Path. u. Pharmakol., 63, 10. 1910 – (14) SINO A. e CHAK I. M., Indian 1. Vet. Sci., 26, 31. 1956; Chem. Abs.. 51, 18340e, 1957 – (15) GUJRAL M. L., VARMA D. R. e SAREEN
K. N„ Indian 1. Med. Res.. 48, 46, 1960; Chem. Abs.. 54. 10147 c, 1960 – (16) GUJRAL M. L„ VARMA D. R„ SAREEN K. N. C ROY H, K., Indian J. Med. Res., 48, 52, 1960; Chem. Abs., 54. 10147c, 1960.
