Carciofo
Tratto da “Piante Medicinali – Chimica, Farmacologia e Terapa” di R. Benigni, C. Capra e P.F.Cattorini
(Cynara Scolymus L. – Fam. Composite/Cynaree/Carduinee) (Sin. Cynara Cardunculus var. sativa Moris.)
Carciofo- Ultimo aggiornamento pagina: 27/02/2018
Indice dei contenuti
- Generalità
- Componenti principali
- Proprietà farmacologiche
- Estratti e preparati vari
- Preparazioni usuali e Formule
- Bibliografia
Generalità

Etimologia – Il nome Cynara (più esatto Cinara) deriva, secondo Columella (I sec. d. C.), dalla consuetudine di concimare questa pianta con la cenere « a cinere ». Al tempo del Basso Impero i traduttori cambiarono l’ortografia latina cinara in cynara, dal greco kinara o kunara nome comune a varie piante spinose, compresa la Rosa canina da kuwn-kunos = cane. Secondo alcuni AA. Cinara, nome di una giovane, cambiata in carciofo.
Scolymus nome greco del cardo o cardone = skolumos da skwlos = spina.
Nome volgare Il nome volgare carciofo deriva dall’arabo kerschouff o hirschuff.
Habitat – Il Carciofo orticolo non ha patria. E’, con tutta probabilità, una forma ottenuta dalla coltivazione e selezione dei Carciofi selvatici che il Gibault (1912) attribuisce all’abilità dei giardinieri italiani del XV sec., ma che invece risale molto più indietro nel tempo, forse al IV sec. a. C. Le piante madri sarebbero il Cynara Cardunculus L. (Cynara Cardunculus var. sylvestris Lamk.) che si trova-in Italia nella Maremma Toscana dall’Abruzzo in giù, nelle grandi isole e nelle minori (Lipari, Malta, Lampedusa, Isole Ponziane) e il Cynara horrida Sibthorp, indigeno a Madera (Puerto Santo), Canarie, Montagne del Marocco (presso Mogador), Spagna merid. ed orient., Francia, Italia merid., Grecia, Isole del Mediterraneo, Cipro. Secondo alcuni AA. il C. horrida, sarebbe una varietà del C. Cardunculus e classificano i Cynara così:
Cynara Cardunculus L.
a) var. horrida Ait. (sin. C. humilis Ten. [non L.])
(secondo Linneo il C. humilis è una varietà del C. horrida, tipica dell’Algeria).
b) var. Scolymus L. (sin. C. cardunculus var. sativa Moris) il Carciofo (con le s/var. albida, italica, , rubra, violacea, niridis, inermis et aculeatus).
c) var. altilis DC. (con le due forme inermis et spinosus) il Cardo.
C. eu Cardunculus Fournier.
Il Cynara cardunculus L. si è naturalizzato nelle Pampas argentine e nel Cile.
Pianta erbacea perenne.
Parti usate – Le foglie cauline (non i grossi capolini fiorali non dischiusi – carciofi o articiocchi).
Componenti principali
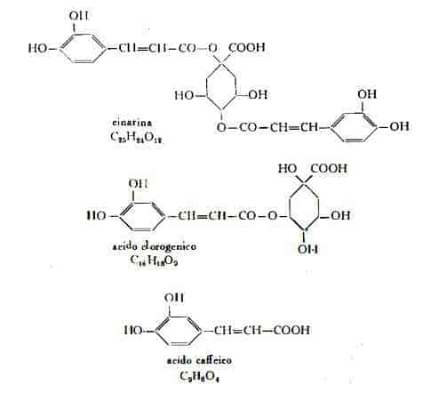
Composti caffeici, tra cui cinarina 0,01-0,02 % nelle foglie fresche ( 1), identificata con l'acido 1,4-dicaffeilchinico; inoltre acido clorogenico (acido 3-caffeilchinico) ed acido caffeico (2).

La denominazione cinarina era stata data in precedenza da Chatin (7) ad un composto chimicamente non definito, considerato analogo all'aloetina (principio amaro, pure non definito, dell'Aloe) e segnalato già in precedenza sin dal 1840 dal Guitteau (6); la presenza di questa sostanza fu confermata successivamente dal Rosa (8). Chabrol e coll. (11) indicarono in seguito il principio attivo del Carciofo come una sostanza con struttura ciclica con funzione fenolica suscettibile di dare con il piombo un sale insolubile. Rosa (8) isolò infine un principio cristallino con una funzione acida ed una alcoolica e con potere rotatorio levogiro, esistente nella droga, secondo l'A., in forma di sale di calcio, magnesio potassio e di sodio. Soltanto gli studi recenti di Panizzi e coll ( 1) hanno condotto al prezioso risultato di isolare dal precipitato piombico una sostanza cristallina indicata con il nome di cinarina ed identificata con l’acido 1-4-dicaffeilchinico, identificazione confermata anche per sintesi.
Altri componenti segnalati: mucillaggine, pectine, tannini zuccheri acidi malico, lattico ( 4), glicerico e glicolico ( 4) (5), due composti glicosidici, denominati glicosidi A e B, di cui il secondo (B) attivo come coleretico ( 4); sali di potassio e di magnesio (7). Composti flavonici: cinaroside (glucoside della luteolina, che è il 5,7,3',4',-tetraossiflavone) (3) e scolimoside (ramnoglucoside della luteolina) (3).

Nella frazione insaponificabile del Carciofo i derivati triterpenici (a-lattucerolo) e y-taraxterolo (45).
Proprietà farmacologiche ed impiego terapeutico
Il principio attivo contenuto nelle foglie caulinari del Carciofo, fu segnalato fin dal 1840 dal Guitteau (6); lo Chatin (7) nello stesso anno, in una comunicazione fatta alla Académie de Médicine de Poitiers, concluse che il principio attivo contenuto nelle foglie di Carciofo, è un corpo comparabile all'aloetina e propose di chiamarlo «Cinarina ».
Molto più tardi il Rosa (8), confermando quanto asserito precedentemente dallo Chatin, descrisse la cinarina come un principio amaro analogo all'aloetina; ciò che venne confermato successivamente anche dal Morellet (9) il quale ritenne che le proprietà terapeutiche del Carciofo, sarebbero dovute a un principio ossiantrachinonico analogo all'aloina e caratterizzato dalla reazione di Borntraeger.
Il Brel ( 10) ritenne invece che le azioni coleretica e diuretica fossero in relazione con l'elevato contenuto nella droga, di sali di potassio e di magnesio.
Tanto l'opinione, del Brel quanto quella di coloro che ritennero che la cinarina fosse una sostanza ossiantrachinonica, venne confutata da Chabrol e dai suoi collaboratori (11), i quali dimostrarono che mentre le soluzioni di un estratto acquoso di Carciofo si dimostravano attive, non altrettanto lo erano i sali estratti dalle ceneri. Inoltre, per quanto riguarda l'opinione del Morellet, i suddetti AA. affermano di non aver mai ottenuto la reazione di Borntraeger su estratti di Carciofo da loro stessi preparati e che la colorazione prodotta da tale reazione sulla bile ottenuta dopo iniezione di un estratto di Carciofo non è stata mai comparabile con la tinta rosso-cupa che si ottiene così rapidamente dalla bile prelevata da cani cui sia stata praticata un'iniezione endovenosa di una sostanza antrachinonica come l'alizarina o quella contenuta nei preparati di Frangola.
Gli stessi AA. sono invece riusciti a separare da un estratto acquoso di foglie di Carciofo, una frazione che precipita con piombo e un residuo non precipitabile. Dopo allontanamento del piombo dalle due frazioni, gli AA. hanno ottenuto dalla prima un prodotto dotato di notevole attività coleretica e capace di aumentare il deflusso della bile da 5 a 14 per un periodo di 1/2 h., mentre la seconda si dimostrò completamente inattiva. Gli AA. ritennero che il principio attivo del Carciofo fosse rappresentato da una sostanza a carattere acido, capace di dare col piombo un sale insolubile e che figura fra i composti ciclici a funzione fenolica.
Successive ricerche del Rosa (8) hanno condotto all'isolamento di una sostanza che si presenta sotto forma di cristalli incolori, la cui forma poteva variare a seconda del solvente usato e nella quale il Rosa ritenne di aver individuato il principio attivo che nella pianta sarebbe presente sia libero che sotto forma di combinazione calcica, magnesiaca, sodica e potassica. Il prodotto cristallizzato possederebbe, secondo l'A., una funzione alcoolica e una acida e le sue soluzioni acquose provocherebbero una leggera rotazione a sinistra del piano della luce polarizzata.
Questa sostanza, che venne messa in commercio col nome di Chophitol, servì poi ad un gran numero di ricercatori per lo studio dell'azione farmacologica del Carciofo.
Per quanto la sostanza oggi nota col nome di Cinarina fosse stata intravista dallo Chabrol e dai suoi Collaboratori, dai quali vennero indicate alcune sue caratteristiche (quali la natura acida, la presenza di gruppi fenolici e la proprietà di dar sali insolubili col piombo) ed anche dal Rosa il quale pure ne indicò il carattere acido, la presenza di ossidrili alcoolici e il potere levogiro, spetta al Panizzi ed ai suoi Collaboratori (1) il merito di aver isolato dal precipitato piombico di estratti acquosi di foglie di Carciofo, una sostanza cristallizzata che venne da essi riconosciuta come acido 1-4-dicaffeilchinico e che dagli AA. stessi venne riprodotta mediante sintesi. Tale sostanza, come risulta dalla formula indicata, ha carattere acido, possiede ossidrili alcoolici e fenolici, è levogira ed è precipitabile con piombo. Vedremo in seguito quali sono le caratteristiche farmacologiche e terapeutiche di questa sostanza. Diremo intanto che questa non sembrerebbe essere la sola sostanza attiva contenuta nel Carciofo e ciò risulta da ricerche di due AA. francesi, Bernard e Lalemand
(4), i quali avrebbero accertato la presenza nella droga di due sostanze glicosidiche A e B, una delle quali, la B, sarebbe dotata della proprietà di favorire la secrezione biliare, mentre gli acidi glicolico e glicerico, pure presenti nella droga, agirebbero come attivanti della funzionalità epatica e come ipocolesterolemizzanti. La presenza di due sostanze glicosidiche nel Carciofo, il cinaroside e lo scolimoside, è stata successivamente confermata da altri due AA. francesi, Michaud e Masquelier (3).
Il fatto che oltre la cinarina siano presenti nella droga altre sostanze attive, quali i suddetti glicosidi e gli acidi glicolico e glicerico, può spiegare l'attività di.estratti di Carciofo sicuramente esenti da cinarina, come generalmente si ottenevano prima di conoscere le caratteristiche chimiche di questa sostanza.
Lo studio dell'azione farmacologica e terapeutica del Carciofo nelle disfunzioni epatiche, azione già nota fin dal 1600, venne ripreso soltanto nel 1926 dal Brel, il quale ne comunicò i risultati nel 1929 (10). Questo A. sperimentò clinicamente alcuni estratti di Carciofi e potè constatare la notevole attività terapeutica specialmente in alcuni parenti affetti da diverse forme di ittero, nei quali osservò la rapida scomparsa dei Sali e dei pigmenti biliari dalle urine, il ritorno della colorazione normale delle feci, la contemporanea decolorazione della cute e un notevole effetto diuretico.
Chabrol, Charonnat, Maximin e Waitz (11) successivamente notarono che i preparati ottenuti dalle radici di Carciofo, iniettati endovena nei cani, possono quadruplicare il deflusso della bile, come quelli ottenuti dalle foglie.
Secondo questi AA. la coleresi ottenuta col Carciofo differirebbe da quella che si ottiene con l'Atofan, coi fenoli e col cloralosio. I preparati di Carciofo infatti, somministrati per via endovenosa, non provocano immediatamente il loro massimo effetto, il quale si manifesta invece dopo un periodo di latenza di 2-3 ore.
Contrariamente a ciò che si osserva con l'Atofan, il tasso dell’estratto secco della bile, è quasi sempre aumentato e le sue variazioni per unità di volume sarebbero dell'ordine del 50 %.
Loeper, Lemaire e Dany (12), studiando comparativamente l'attività di alcuni coleretici nei cani, dai quali la bile veniva prelevata mediante sondino duodenale, hanno ottenuto col Carciofo risultati piuttosto modesti, inferiori comunque a quelli ottenuti per es. con la Chelidonia, la quale però, a nostro parere, può agire soltanto allorché il normale deflusso della bile è ostacolato da uno stato spastico delle vie biliari, ciò che molto verosimilmente potrebbe spiegare, almeno in parte, la minor risposta alla azione del Carciofo nei casi considerati dagli AA.
Occorre inoltre notare le differenze esistenti fra i risultati delle prove eseguite su animali da esperimento, che non sempre sono stati positivi e quelli molto più univoci e nella loro grande maggioranza positivi, ottenuti con prove eseguite su pazienti affetti da diverse epatopatie; ciò appare evidente dai risultati riferiti da Tremolicres, Thiery e Fauchet (13), da Monville (14) e da altri.
D'altro lato, non sempre il valore dei risultati ottenuti sperimentando su animali con sostanze ad azione coleretica, può essere trasferito all'uomo, senza tenere nel dovuto conto le particolari condizioni patologiche dei soggetti nei quali questi farmaci vengono impiegati e in tal senso depongono anche i risultati di Kalk e Nissen (15).
Ricerche cliniche più recenti sono state eseguite da Struppler e Ròssler
(16) i quali sperimentarono clinicamente alcuni preparati di Carciofo su soggetti sani e malati. Essi trovarono che non tutti i soggetti, sani o malati, reagiscono in modo uniforme all'azione del Carciofo in quanto, mentre la maggior parte di essi hanno reagito con una netta azione colagoga ( 12 su 24 soggetti sani e 6 su 13 malati), altri hanno reagito in maniera dubbia (5 su 24 soggetti sani e 2 su 13 malati) ed altri ancora non hanno reagito affatto (7 su 24 sani e 5 su 13 malati).
Gli AA. concludono che ai preparati di Carciofo da essi studiati, deve essere attribuita un'azione colagoga pura e che tale azione è desiderabile, evitando essa i pericoli inerenti a eventuali stati spastici conseguenti a fatti colangitici; essa si manifesterebbe infatti soltanto in senso fisiologico stimolando la funzione cellulare e la secrezione epatica. Questi risultati corrisponderebbero a quelli ottenuti dallo Schindel (17) con esperienze eseguite su animali e secondo le quali il Carciofo ed altri coleretici vegetali, stimolano anzitutto il fegato ad un aumento di secrezione, senza che la composizione della bile presenti differenze notevoli ed essenziali di fronte ai valori iniziali. Gli AA. nel corso delle loro esperienze non hanno osservato un effetto colecistocinetico, fatto che fu invece notato dal Nissen (18) impiegando dosi notevolmente superiori a quelle impiegate da Struppler e Ròssler.
Estese ricerche eseguite da Preziosi e Loscalzo (19) sulla cinarina ottenuta dal Panizzi, hanno dimostrato che questa sostanza sperimentata sui ratti cui era stata praticata una fistola biliare, provoca un'intensa attività coleretica e che all'aumento della secrezione biliare non si accompagna una maggior diluizione della bile secreta. Conseguentemente gli AA. ammettono che la cinarina è in grado di favorire l'escrezione attraverso la bile di sostanze solide e di colesterolo.
Bertolani, Dardari e Massa (20) hanno impiegato la cinarina nella indagine colangiograffca, trovando che questa sostanza, a differenza di altri coleretici, si è mostrata in grado di favorire in misura notevole il contrasto delle vie biliari, rendendo di conseguenza possibile l'esame di queste, anche in soggetti nei quali precedentemente ciò non si era potuto ottenere. Questa proprietà è stata posta in relazione dagli AA. con l'aumentata escrezione del mezzo di contrasto, da parte della cellula epatica e con l'assenza di una qualsiasi azione collaterale sulle vie biliari extraepatiche.
Nello studio dell'azione farmacologica del Carciofo, oltre l'azione coleretica, occorre considerare anche altre azioni che sono state sperimentalmente e clinicamente accertate in questa droga e non meno importanti sotto l'aspetto farmacologico e terapeutico.
Dovremo quindi considerare l'attività del Carciofo sulla diuresi, sul metabolismo azotato e sul ricambio colesterolico.
a) Azione sulla diuresi
L'azione sulla diuresi che si manifesta dopo la somministrazione di preparati di Carciofo, è stata notata clinicamente in maniera quasi contante, sia per somministrazione parenterale che enterale dei suddetti preparati e lo studio farmacologico non tardò a darne la conferma sperimentale.
Il Brel (10) descrive un caso di ittero catarrale trattato con un estratto secco idroalcoolico di Carciofo somministrato per os, in cui la diuresi aumentò già dopo due giorni, da 1200 a 2000 cc mentre una vera crisi urinaria manifestatasi dopo il 4° giorno, provocò l'emissione di 4 l. di urine nelle 24 ore.
L'aumento della diuresi sotto l'azione del Carciofo, è sempre accompagnata dall'aumento della concentrazione ureica e in tal senso depongono i risultati sperimentali ottenuti da Tixier e De Séze (21), di Eck (22) e quelli ottenuti da Tixier ed Eck (23) in pazienti con nefrosclerosi, oliguria e anuria di natura tossinfettiva; da Tixier e Bizé (24) in un soggetto di 11 anni affetto da glomerulonefrite diffusa; di Tixier (25) in un caso di anuria tossica in un bambino di 3 anni e mezzo; di Leveuf e Guidard (26) in un caso di anuria postoperatoria; di Beggi e Dettori (27) in cirrotici con stasi portale e di Ravina (28) in pazienti affetti da nefrite acuta con edema polmonare e in cardiopatici con fenomeni dispneici ed edemi periferici. Citeremo infine i risultati ottenuti da Preziosi e Loscalzo (19) sperimentando l'attività diuretica della cinarina su ratti, nei quali questa sostanza può provocare un aumento del 100 % della secrezione urinaria spontanea, senza che il peso specifico delle urine e il contenuto percentuale dei cloruri e dell’urea, subiscano modificazioni evidenti. Anche sulla diuresi da carico idrico-salino, la cinarina dimostrò un indubbio effetto stimolante che, secondo gli AA., può uguagliare o superare per intensità quello che è possibile ottenere con le dosi più attive di teofillina-etilendiamina. I risultati di queste ricerche confermano, sotto questo aspetto, i risultati precedentemente ottenuti da Del Saz (29), il quale sperimentando su cani, trovò che la somministrazione di g 1-2 pro die di un estratto fluido di Carciofo I. d B., mescolato alla dieta, provoca un notevole aumento della secrezione urinaria, la cui composizione resta pressoché invariata rispetto ai cloruri, all’azoto totale, all’ammoniaca, alla creatinina e allo zolfo neutro.
b) Azione sul metabolismo dell'urea
Tixier (30) afferma che gli azotemici trattati con preparati di Carciofo, somministrati per via intramuscolare o endovenosa (vie queste da preferirsi per la terapia d’attacco), reagiscono costantemente secondo lo stesso schema; aumento dell’azotemia in primo tempo, sopra i valori iniziali senza però che tale aumento comporti un aggravamento del malato, il quale anzi, fin dalle prime dosi, accusa un miglioramento generale e un particolare senso di euforia che l’A. pone in relazione con una reazione di scarico conseguente alla ritenzione tessutale. Secondariamente il tasso dell'azotemia si abbassa mentre, nello stesso tempo, si osserva una maggior eliminazione azoturica dovuta all’aumentata diuresi e alla concentrazione urinaria. Ne risulta un ritorno alla norma dei valori azotemici o una loro considerevole diminuzione, con conseguente miglioramento dello stato generale.
Anche la costante d’Ambard subisce un progressivo abbassamento e passa per es. da 0,20 a 0,13; da 0,15 a 0,07; da 0,18 a 0,10; da 0,19 a 0,12, ciò che prova lo stabilirsi di un progressivo miglioramento della funzione urosecretoria. Questo stato permane per diversi mesi dopo il trattamento e lo si può prolungare con periodi intercalari di somministrazione di preparati di Carciofo per os.
Le successive esperienze eseguite in collaborazione con Eck (31), inducono l'A. ad ammettere che tale aumento avviene a spese delle molecole ricche di azoto imperfettamente elaborate dal fegato insufficiente, poco diffusibili nel siero e trattenute nell’organismo per la diminuita permeabilità del rene di fronte ad esse, ma ancora permeabile all'urea.
Quanto è noto sulla stimolazione epatica dovuta al Carciofo, induce l’A. a ritenere che il fegato trasformi queste molecole proteiche in urea che rappresenta la forma di disintegrazione la più diffusibile, la meno tossica e la più facilmente eliminabile. Che questa trasformazione possa essere stimolata sotto l’azione del Carciofo, sarebbe provato dai risultati di successive esperienze eseguite dall'A. in collaborazione con Eck e Desbordes (32), su conigli in cui era stata provocata una nefrite sperimentale con nitrato di uranio. Gli AA. dosarono l'azoto non proteico nelle sue due frazioni, ureico e non ureico, nel sangue e nei tessuti e trovarono che mentre negli animali trattati contemporaneamente con Carciofo, il valore dell'azoto ureico era molto superiore a quello non ureico in quelli non trattati, l'aumento delle due frazioni avveniva in maniera esattamente parallela. In entrambi i casi l'azoto totale non proteico, era notevolmente aumentato, ma i risultati di questa esperienza hanno dimostrato che negli animali trattati con Carciofo, la maggior parte dell'azoto non proteico veniva trattenuto sotto forma di urea, sotto forma cioè di una sostanza che fra i prodotti della disintegrazione proteica è certamente la meno tossica e la più facilmente eliminabile.
Sembra dunque che le osservazioni cliniche e quelle sperimentali dimostrino concordemente che il Carciofo sia dotato della proprietà di stimolare la funzione urogenetica del fegato e di provocare la più rapida eliminazione dell'urea prodotta, attraverso una stimolazione dell'epitelio renale.
c) Azione sul ricambio del colesterolo
L'azione del Carciofo sul ricambio del colesterolo è certamente una delle più importanti, in relazione soprattutto alle applicazioni terapeutiche che ne possono derivate in quelle malattie che alcuni AA. (Paillard) attribuiscono ad eccesso di colesterina e fra le quali sarebbe da annoverare la malattia arteriosclerotica. Vero è che sotto questo aspetto, non tutti i gli AA. sono concordi nel valutare l'importanza che può essere attribuita al fattore colesterolemico ed infatti le osservazioni di diversi AA. dimostrano come la colesterolemia possa variare entro limiti molto ampi in malati che presentano la stessa sintomatologia clinica e come in malati che presentano indubbi segni di precipitazione di colesterina nei tessuti, il tasso colesterolemico può apparire del tutto normale.
Sembrerebbe quindi che non è tanto il valore colesterolemico che ha importanza come fattore patogenetico, quanto l'attitudine del colesterolo a precipitare nei tessuti attitudine che, secondo Loeper e Lemaire (33), è inversamente proporzionale ad un altro valore che è appunto quello che esprime il potere colesterolitico, del siero: allorchè aumenta il potere colesterolitico, la tendenza alla precipitazione del colesterolo diminuirebbe e aumenterebbe allorchè diminuisce il potere colesterolitico.
La colesterina non è solubile in acqua e la sua solubilità nel plasma è in rapporto con l’equilibrio lipo-proteico esistente nel plasma stesso e secondo i risultati delle ricerche di Eck e Desbordes (34), tale solubilità dipenderebbe più dalla formula protidica che da quella lipidica e sembrerebbe essere funzione della saturazione o della non saturazione delle albumine del siero.
Secondo questi AA. (35) il potere colesterolitico negativo sarebbe un sintomo della diatesi precipitante (Loeper) e tale negatività sarebbe eccezionale nei bambini, rara negli adulti e frequente nei vecchi. Il tasso più elevato di colesterina può essere riscontrato nei vecchi ateromatosi (36) nei quali però si possono trovare anche valori colesterolemici normali o vicini alla norma, ma il potere colesterolitico è, nella grande maggioranza dei casi (I'84 % fra quelli studiati dagli AA.) negativo.
Dai risultati delle loro esperienze gli AA. (38), sono stati indotti a ritenere che il siero tenga in soluzione soltanto una quantità strettamente limitata della colesterina esistente nell'organismo e che sotto l'influenza di diversi fattori esso possa perdere l'attitudine a scioglierla ed a mantenerla in soluzione. In questo caso, la colesterina proveniente dall'apporto esogeno, sarà precipitata e trattenuta dai tessuti provocando o aggravando i diversi stati patologici ad essa correlati (polisclerosi, arteriti, manifestazioni oculari, cutanee, ecc.). Per contro, sia spontaneamente che sotto l'influenza di alcuni farmaci di cui gli AA. hanno studiato il meccanismo d'azione, il siero può acquisire di nuovo l'attitudine a sciogliere la colesterina ed a scioglierne anche in eccesso, provocando in questo caso, la rimozione di essa dai depositi patologici, permettendone il ritorno in circolo e quindi l'eliminazione o la distribuzione ai naturali depositi (38-30).
Data l'importanza che viene attribuita al fegato nella regolazione dell'equilibrio proteico del plasma, non sembrerebbe illogico ammettere che anche il potere colesterolitico del siero possa essere, almeno in una certa misura, condizionato da una stimolazione dell'attività epatica. Sta di fatto che molte sostanze che agiscono stimolando l'attività fisiologica del fegato, quali gli estratti epatici, l’acido deidrocolico e i suoi sali, gli acidi feniletilacetico e difeniletilacetico, il Tritio-p-metossifenilpropene (Trition), il Carciofo e il suo principio attivo cinarina ecc., agiscono tutti in senso decolesterolemizzante e aumentando il potere colesterolitico del siero.
Per quanto riguarda il Carciofo che, sotto questo aspetto è stato estesamente studiato, il Tixier (30) dice di essere rimasto colpito dalla costanza con la quale esso si dimostra capace di modificare il potere colesterolitico. In molti suoi malati che avevano superata l’età di cinquant'anni e in cui il potere colesterolitico era sceso a valori negativi, la somministrazione orale o parenterale di preparati di Carciofo, ha condotto ad una notevole elevazione di tali valori rendendoli nettamente positivi. Parallelamente all'aumento del potere colesterolitico si è manifestato anche un aumento iniziale della colesterolemia, aumento dovuto alla scarica tessutale della colesterina nel mezzo umorale, divenuto capace di mantenerne in soluzione una percentuale maggiore. I valori colesterolemici si mantenevano elevati sino a che continuava questo processo di mobilizzazione della colesterina tessutale, provocato dall'aumentato potere colesterolitico del siero, dopo di che si notava un abbassamento sino al ritorno ai valori normali.
Un'esperienza interessante, che dimostra l’influenza del Carciofo nel metabolismo lipidico è quella eseguita da Eck e Desbordes (39): due conigli, tenuti per un certo periodo ad un regime ricco di grassi, sono stati trattati con l’iniezione di 1 mg di adrenalina al giorno. Nel primo si vide il tasso colesterolemico elevarsi da 0,51 a 1,05 dopo 8 giorni di trattamento, mentre il potere colesterolitico cadeva da + 33 a —0,32 e il peso da g 1.530 a 1.380. Il secondo coniglio veniva contemporaneamente trattato con un preparato di Carciofo somministrato parenteralmente. In questo caso la colesterolemia si elevava leggermente (da 0,38 a 0,53) mentre il potere colesterolitico passò da zero a + 52 % e il peso diminuì da g 1.580 a 1.530.
Appare da ciò che mentre il primo coniglio subisce un cospicuo aumento della colesterolemia, un abbassamento del potere colesterolitico e marcato dimagrimento, il secondo in cui venne stimolata la funzione epatica, subiva un aumento del tasso colesterolemico pari alla metà di quello osservato nel precedente, ma con un potere colesterolitico molto più elevato e con una trascurabile diminuzione di peso.
Il primo coniglio venne successivamente trattato con lo stesso preparato di Carciofo, il che provocò un lieve aumento del tasso colesterolemico (da 1,05 a 1,23) mentre il potere colesterolitico si invertì passando da — 32 a + 9 %.
Gli AA. concludono che nel corso dell’ipercolesterolemia di origine esogena, il Carciofo agisce sul metabolismo dei lipidi evitando un sovraccarico di grassi a spese di una scarica colesterolica nel siero, dovuta verosimilmente all’aumentato potere colesterolitico del siero stesso e, inoltre, ad una più rapida combustione dei grassi.
In questo caso, notano gli AA., il Carciofo agisce in senso inibitore della colesterolemia e quindi in senso inverso della surrenale.
Gli stessi AA. (38), durante il corso delle loro ricerche sul metabolismo del colesterolo, sono rimasti sorpresi dal fatto che le variazioni della colesterolemia erano spesso di debole ampiezza, mentre essi osservavano per contro, profonde variazioni del siero sanguigno. Gli AA. hanno esaminato il potere colesterolitico del siero di numerosi pazienti e riferiscono a mo' di esempio, i risultati ottenuti in tre casi, con lo scopo di dimostrare l'importanza- della misura del potere colesterolitico.
In un caso di arterite obliterante della gamba sinistra, trovarono che il tasso colesterolemico subiva piccole variazioni, mantenendosi pressocchè normale, ma seguendo le variazioni del potere colesterolitico sotto l’azione del Carciofo, videro un netto miglioramento essendo questo passato da — 0,30 a + 0,1 1.
In un altro caso riguardante un paziente affetto da retinite e da nefrite cronica, sono state fatte le stesse osservazioni e così pure in un altro paziente affetto da morbo di Bright in cui la colesterolemia restava sempre elevata senza notevoli variazioni, mentre il potere colesterolitico, prima negativamente stazionario, si invertì divenendo positivo. Anche le osservazioni cliniche di Tixier e Godreau (40) tenderebbero a dimostrare come l'aumento iniziale del valore colesterolemico, espressione di una mobilizzazione della colesterina dai depositi patologici e il contemporaneo aumento del potere colesterolitico sotto l'azione del Carciofo, sia generalmente accompagnato da un notevole miglioramento dei segni clinici.
Questi AA. hanno seguito radiologicamente una serie di malati affetti da arteriosclerosi dell'aorta e trattati per alcuni mesi con preparati di Carciofo. Alla fine del trattamento essi poterono constatare interessanti variazioni delle dimensioni delle placche ateromatose, variazioni consistenti in una riduzione dei contorni e in una contemporanea diminuzione dell'opacità.
Analogamente, furono notate la regressione di lesioni del fondo dell'occhio, dovute ad abnormi depositi colesterinici, la scomparsa di xantelasmi di notevoli dimensioni e, infine, un notevole miglioramento in alcune forme di arteriti degli arti inferiori, accompagnate da sintomi di claudicazione intermittente, nelle quali gli AA. poterono constatare anche una ripresa dei battiti arteriosi e un marcato aumento dell’indice oscillometrico.
E' appunto in base alle considerazioni che siamo venuti sin qui esponendo che il Tixier ed altri Autori tenderebbero ad attribuire maggior importanza, dal punto di vista clinico e diagnostico, ai valori che esprimono il potere colesterolitico piuttosto che a quelli che esprimono il tasso colesterolemico i quali ultimi, come già fu detto, possono essere molto diversi anche in malati che presentano lo stesso quadro clinico e, commenta il Tixier, « Ce serait une erreure de croire que le simple dosage du cholestérol sanguin donne des reinsegnements suffisants sur le cholestérol intratissulaire » e da questa concezione deriva anche l'importanza attribuita dal Tixier stesso e dagli AA. citati, ai preparati di Carciofo come mezzi terapeutici, assolutamente innocui in quanto atossici, atti a modificare in senso positivo il potere colesterolitico senza dar luogo a
L’azione anticolesterolemizzante del Carciofo è stata studiata sperimentalmente e sotto diversi aspetti, anche più recentemente in Italia.
Del Vecchio (41) ha studiato l’azione di un estratto di Carciofo I. d B., sulla colesterolesterasi in vitro, accertando che tali estratti posseggono un’azione attivante e che, pertanto, essi possono agire sul metabolismo del colesterolo anche nel senso di un’attivazione del suddetto sistema enzimatico.
Anche più recentemente Preziosi e Loscalzo (19) hanno studiato l'artività della cinarina di estrazione e di sintesi (Panizzi) e di altri composti da essa derivati o strutturalmente simili e precisamente: la cinarina di estrazione e di sintesi, l’acido caffeico che è rappresentato due volte nella molecola della cinarina l’acido clorogenico o acido 3-caffeilchinico che differisce dalla cinarina per essere costituito da una molecola di acido chinico legata ad una molecola di acido caffeico invece che a due, ed altri derivati dell’acido caffeico.
Dai risultati di tali ricerche appare che la parte attiva della molecola della cinarina (e quindi dell’acido clorogenico) è costituita dall’acido caffeico e ciò sia per quanto riguarda l’azione sulla coleresi che sul metabolismo della colesterina. A questo proposito anzi gli AA. fanno notare l’analogia chimica esistente fra l’acido caffeico ed uno dei più energici coleretici, il Tritio-p-metossifenilpropene (Trition)

Gli AA. hanno trovato che la cinarina è capace di interferire notevolmente sul metabolismo del colesterolo. Iniettata endovena nel coniglio a dosi opportune, essa determina abbassamenti della colesterolemia che raggiungono il significato statistico. Tale azione ipocolesterolemizzante si manifesta sia in animali normali che in animali sottoposti a carico colesterolico o in quelli nei quali (ratti) si era provocata una ipercolesterolemia da Triton (polimero del p-isoetilpoliossietilenfenolo) e, sempre nel ratto, la cinarina è capace di inibire alquanto la sintesi epatica del colesterolo.
La cinarina non modifica i valori colesterolemici basali per somministrazioni prolungate anche di dosi di 400 mg/Kg/die, comportandosi così in modo analogo a quello dei più noti ipocolesterolemizzanti (acido feniletil e difeniletilacetico). Anche il (norinale) contenuto di colesterolo nei diversi organi e tessuti, non è stato significativamente modificato, se si eccettui un aumento del colesterolo nel surrene di alcuni gruppi di animali trattati a lungo con dosi elevate di cinarina.
Anche questi AA. hanno trovato che l’attività colesterolesterasica del siero umano è apparsa accentuata dalla cinarina, ma solo per concentrazioni elevate. Essi hanno inoltre trovato che la cinarina è dotata di una tossicità acuta, subacuta e cronica, estremamente bassa.
Azioni collaterali del Carciofo
Fra le attività collaterali del Carciofo, dovute alla sua proprietà di stimolare le funzioni fisiologiche del fegato, va annoverata quella antitossica di fronte ad alcuni veleni ad azione epatotossica. L'esame istologico eseguito sul fegato di 60 cavie intossicate con cacodilato di sodio, ha permesso al Gaudin (42) di constatare che gli animali trattati con un estratto di Carciofo non presentavano lesioni epatiche, mentre nei controlli furono riscontrate le caratteristiche lesioni da intossicazione arsenicale. L'esperienza dimostrò inoltre che le cavie trattate con Carciofo, eliminarono con le urine, una quantità di arsenico molto superiore dei controlli.
Analogamente l’Oudot (43), sperimentò l’azione di un preparato iniettabile di Carciofo su 8 luetici che presentavano fenomeni di intossicazione da arsenobenzoli notando la scomparsa dei fenomeni tossici. L'A. constatò inoltre che l’uso contemporaneo di un preparato arsenobenzolico (il Novar) e del preparato iniettabile di Carciofo, permise di condurre a termine il trattamento arsenobenzolico prescritto, nei suddetti casi, senza notare alcun accidente tossico.
L’esito favorevole di queste esperienze cliniche, renderebbe attuabile, secondo l’A., una vera e propria profilassi degli inconvenienti sempre possibili nel corso del trattamento con preparati arsenicali.
L’A. osservò inoltre, che l’associazione Carciofo-Arsenobenzoli, può assicurare una buona tolleranza di dosi anche superiori a quella considerata normale di g 0,10 di Novar pro Kg. Nei casi suddetti il preparato arsenicale è stato impiegato sciogliendolo in cc 5-10 della soluzione iniettabile di Carciofo usata dall’A. Sembra logico ritenere pertanto che, specialmente nei casi di insufficienza epatica, sia indispensabile far precedere, oltre che associare, un trattamento con Carciofo, alla terapia arsenobenzolica.
Un’altra interessante attività collaterale del Carciofo è quella che il Risi (44) avrebbe accertata in un'ossidasi estratta dal Carciofo e capace di facilitare ed accelerare l’ossidazione degli idrati di Carbonio. Con questo enzima idrosolubile, conservato in soluzione idroglicerica, l’A. sarebbe riuscito ad abbassare nel cane e nel coniglio, tanto la glicemia a digiuno (con una diminuzione del 40 % circa) quanto la glicemia da carico di zucchero o da iniezione di adrenalina.
L’enzima si è dimostrato notevolmente attivo anche nel cane pancreasectomizzato, senza dar luogo ad azioni secondarie non desiderate o a disturbi da ipoglicemia. L’attività dell’enzima si manifesta sia se somministrato per via enterale che parenterale, per un periodo di 1 o 2 giorni, raggiungendo un’attività massima nelle prime ore dopo la somministrazione.
Non sembra esistere un rapporto ben definito di proporzionalità fra dose e durata o intensità d’azione. L’effetto di questa ossidasi appare costante e potrebbe essere potenziato da fosfato bisodico, da colesterina e da malato potassico.
Il valore terapeutico di questo enzima è stato clinicamente sperimentato su 105 soggetti, quasi tutti diabetici, suddivisi per la sperimentazione, in diabetici lievi, medi e gravi ma non comatosi.
L’enzima veniva somministrato in soluzione alla dose di 2 cucchiai, alla distanza di 1/2 ora l'uno dall’altro e in qualche caso fu somministrato anche endovena, alla dose di 10 cc della soluzione.
In tutti i casi il preparato venne perfettamente tollerato e sempre ha provocato una marcata riduzione della glicemia, della chetonemia e della glicosuria che, nei casi più lievi, veniva ricondotta alla norma. Anche la diuresi, lo stato di nutrizione generale e il peso corporeo, venivano sensibilmente migliorati.
L’A. afferma che questo preparato, pur potendo sostituire l’insulina nelle forme più lievi, non può certamente sostituirla in quelle più gravi, nelle quali però, può rappresentare un utile farmaco di risparmio.
Indicazioni e impiego terapeutico
Le indicazioni della cinaroterapia derivano ovviamente, dall’attività epatorenale del Carciofo e quindi dalle sue azioni sulla coleresi, sulla, diuresi, sul metabolismo della colesterina e dell’urea, azioni che sono state precedentemente esaminate. La cinaroterapia troverà quindi indicazione in tutti i casi in cui si presenta la necessità di stimolare la coleresi e le funzioni antitossiche del fegato di fronte a certi veleni endogeni o esogeni (arsenico per es.) e nei casi in cui occorra stimolare la diuresi e provocare una maggior eliminazione d’acqua, dei cloruri e di urea. Nelle malattie da eccesso di colesterina (diatesi precipitante di Loeper) e nell’arteriosclerosi in particolare, caso nel quale potrebbe essere opportuna l’associazione della vitamina P, al fine di ottenere contemporaneamente, un miglioramento delle lesioni arteriosclerotiche, oltre che della resistenza e della permeabilità vasale.
Il Tixier nella sua già citata nota riassuntiva (30) afferma di aver ottenuto buoni risultati in albuminurici cronici, casi nei quali il trattamento con Carciofo avrebbe provocato la scomparsa dei pochi centigrammi di albumina residua. Nei casi di nefrosi lipoidea, nei quali il Carciofo può far regredire o migliorare molto rapidamente le manifestazioni albuminuriche ed edematose.
Come terapia d’urgenza (per via parenterale) nelle anurie tossiche e post-operatorie. Nelle oligurie e negli edemi degli epatici, nelle manifestazioni cardiorenali e di molte malattie infettive e non (polmonite, febbre tifoide, coma diabetico ecc.) il trattamento con Carciofo può, secondo il Tixier, provocare molto rapidamente e senza danno, data la sua atossicità, una poliuria risolutrice. Questa terapia d’urgenza può essere impiegata in tutte le manifestazioni subacute dovute a ritenzione azotata e idrica (coma uremico, delirium tremens, edema della glottide, cerebrale ecc.). L’A. avverte che in questi casi il Carciofo rappresenta null’altro che un medicamento stimolante e che quindi non può manifestare la sua azione-allorché tutti i glomeruli renali siano stati distrutti dalla sclerosi.
Il Tixier (25) trova che i preparati di Carciofo sono molto ben tollerati dai bambini ed osservò che l'uso di essi conduce alla rapida scomparsa di quelle turbe digestive originate da uno stato di insufficienza epatica, anche se non sempre evidente e che si manifestano con intolleranza verso certi alimenti, con vomito a tipo acetonemico, con feci che riflettono una deficente assimilazione ed una insufficiente digestione degli alimenti.
In dermatologia il Tixier indica il Carciofo, somministrato parenteralmente, come specifico nel trattamento del prurigo strophulus e in diverse forme di prurito infantile, casi nei quali esercita un’azione notevole e pressocchè costante. L'A. afferma di aver impiegato il Carciofo con successo, anche nelle crisi di urticaria, nella malattia da siero e così pure in certe forme eczematose e psoriasiche. L’A. ritiene che il Carciofo agisca modificando il metabolismo lipidico che in questi casi risulta spesso alterato.
Nella terapia delle forme di asma che spesso si manifestano su terreno artritico, il Carciofo è indicato dal Tixier come prezioso coadiuvante e così pure certe manifestazioni demenziali o delilranti di origine tossica, dovute a disfunzione epato-renale, possono essere dal Carciofo favorevolmente influenzate.
Infine il Tixier consiglia un trattamento pre- e post-operatorio con Carciofo, nei renali e negli epatici, al fine di prevenire le manifestazioni oliguriche ed azotemiche che spesso seguono gli interventi chirurgici.
Dopo i lavori del Panizzi, con i quali è stata precisata la costituzione chimica della cinarina, è possibile ottenere estratti di Carciofo, sia per os che iniettabili, titolati in cinarina o prodotti cinarinosimili, e quindi ad azione più sicura e costante e che per ciò, meglio si prestano per ogni forma di terapia.
Estratti e preparati vari
a) Estratto fluido per tintura (g 1 = XLIX gtt).
Dosi; g 0,5-2 pro dose 2-3 volte nelle 24 ore.
b) Estratto fluido per sciroppo titolato (titolo chimico 0,5 % cinarina) (g 1 = XXX gtt).
Dosi: come sopra.
c) Estratto fluido per sciroppo (g 1 = XXIX gtt).
Dosi: come sopra.
d) Estratto fluido detannizzato per sciroppo (g 1 = XXIX gtt).
Dosi: come sopra.
e) Estratto molle acquoso titolato (titolo chimico 1 % cinarina).
Dosi: g 0,25 pro dose.
(f) Estratto molle acquoso (una parte = 5 p. circa di droga).
Dosi: g 0.25 pro dose.
g) Estratto secco acquoso titolato (titolo chimico 1 % cinarina).
Dosi: g 0.2 pro dose.
h) Estratto secco acquoso (una parte = 8 p. Circa di droga).
Dosi: g 0.2 pro dose.
i) Estratto secco iniettabile titolato.
Preparazioni usuali e formule galeniche
Tintura
Estratto fluido carciofo per tintura……………………………… g 20
Alcool di 60°……………………………………………………………… g 80
(a cucchiaini)
Sciroppo
Estratto fluido carciofo per sciroppo…………………….. g 10
Sciroppo semplice F U……………………………………………… g 90
(a cucchiai)
Pillole colagoghe
Estratto secco acquoso carciofo……………………………….. g 0,05
Estratto secco acquoso rabarbaro ……………………………. g 0,05
Estratto secco acquoso aloe…………………………….. . . . g 0,02
Eccipiente q. b. per 1 pillola.
(2-3 pillole pro die)
BIBLIOGRAFIA
(1) PANIZZI L. e SCARPATI M. L.. Gare. Chim. hai., 84, 792. 806, 1954 – (2) PANIZZI L„ ORIENTE G. e SCARPATI M. L.. Ann. Chim., 47, 150, 1957 – (3) MASQUELIER J. e MICHAUD J„ Bull. Soc. Pharm. Bord., 95, 65, 1956 – (4) BERNARD P. e LALLEMAND A., Bull. Soc. Pharm.. Matsellle, 15, 1953; Chem. Abs., SI, 10665g, 1957 – (5) BALANSARD. Prod. Pharm., 7, 457, 1952 – (6) OUITTEAU. citalo da TIXIER; Rtv. Mid. Front., 16 , 5, 401, 1935 – (7) CHATIN, Acad. de Méd. de Pollleri 1940 – (8) ROSA G. E., Les Nouvelles Thérapeutigues, lebbrato 1932: Gaz. dee Hópltaux, 14 marzo 1932; Journ. de Pharm et de Chlmie 1935; Bull, dee Biotogistes Pharmactens 1935 – (9) MORELLET, Journ. de Méd., 1930 – (10) BREL, Buìl. Soc. Thérap., 1929 • (11) CHABROL E„ CHARONNAT R„ MAXIMIN M. e WAITZ R.. C. R. Soc. Blol., 108. 1020, 1931 – (12) LOEPER, LEMAIRE e DANY, Progr. Med., 20 agosto 1932 – (13) TREMOLI ÈRE. THIERY e FAUCHET. Rev. de Méd., ottobre 1933 (14) MONVILLE. Thés de Paris, 1933 – (15) KALKE e NISSEN, Disch. Med. Woch., 44, 1932 – (16) STRUPPLER A. e RÒSSLER, Med. Monatsschr., 11, 221, 1957. (17) SCHINDEL L„ Arch. exp. Palh. u. Pharmakol., 17S, 313, 1934 – (18) NISSEN. Landarzt, 20, 395, 1939 – (19) PREZIOSI P. e LOSCALZO B-, Arch. II. Sclen. Farmacol., 23. 4. 249-96, 1957; Fitoterapia n. 2 e 3, 666-98, 1956 – (20) BERTOLANI F„ DARDARl M. e MASSA L„ La RadM. Med., 45, 8, 1958 • (21) TIXIER L. e DE SÉZE S-, citato da DEL SAZ (29) – (22) ECK M„ C. R. Soc. Biol., 1934 e 1935 (citalo da TIXIER (30)] â– (23) TIXIER L. e ECK M„ Bull. Soc. Thir., 11 aprile 1934 – (24) TIXIER L, BIZE’. citato da TIXIER (30) – (25) TIXIER L, Comunicai, alla Soc. de Pédial. de Paris, 15 genn. 1935 Rev. Méd. Frane., Maggio 1935 – (26) LEVEUF e GUIDARD, citato da DEL SAZ (29) – (27) SEGGI A. e DETTOSI B„ Policlinico Sez. Pro!., 41, 489, 1934 – (28) RAVINA A., Presse Méd., 42, 1299. 1934 -• (29) DEL SAZ M„ La Farmacologia del Cynata scolymus. Tesi, Milano 1938-39 – (30) TIXIER L.. Presse Méd., n. 44. 880, 1939 – (31) TIXIER L. e ECK M, Soc. Med. des Hàpitaux. 6 luglio 1934 • (32) TIXIER L., ECK M. e DESBORDES J., BuU. Soc. Chim. Biol., 17, 893-6, 1935 – (33) LOEPER e LEMAIRE, citalo da TIXIER i. c. – (34) ECK M. e DESBORDES J.. C.R. Soc. Blol.. 117, 428 e 615, 1934 – (35) ECK M. e DESBORDES J, Ibld., 118, 498. 1935 – (36) ECK M. e DESBORDES J.. 117, 428, 1934 – (37) LOEPER. Ibld, 98, 101, 1928 – (38) ECK M.
e DESBORDES 3.. ibid., 117, 429, 1934 – (39) ECK M. e DESBORDES !.. Ibld., 117, 681, 1934 – (40) TIXIER e GODREAU, citato da TIXIER (30) – (41) DEL VECCHIO A.. Boll. Soc. II. BM. Sperim, 29, 1, 48-50, 1953 – (42) GAUDIN. Presse Méd., n. 28, 532, 1939 – (43) OUDOT P, Semalne des Hópltaux, 48, 1947 – (44) RISI A, Arch. Intern. pharmacod. et de thér, 61, 428, 1939; Giorn. Ass. Med. Naiur, Napoli 1940; Alhena, 10, 48. 1941: (Vedi anche; ERSPAMER V„ Quaderni di Fllolerapla, n. 5, a cura della Ditta Dr, INVERNI 8t DELLA BEFFA, Milano 1943) – (45) FRUHSTORFER W., Ber., 87, 423, 1954.
